- Kennlinie und Parameter
Neben der Tatsache, dass SFETs einen hochohmigen Eingang haben, wenig rauschen und ihre Stärken nur im Kleinsignalbereich ausspielen können, muss man sich unbedingt mit ihrer Kennlinie und den wichtigsten Parametern beschäftigen. Bezogen auf einen N-Kanal SFETs ergibt sich der im Bild 1 dargestellte quadratische Zusammenhang des Drainstromes von der Gatespannung. Hier ist zu sehen, dass der Arbeitspunkt nur zwischen UG = 0 und UP liegen kann. Der zugehörige Drainstrom ändert sich von IDSS bis auf nahezu Null (theoretisch > 0, praktisch ca. 10 nA). Eine Aussteuerung bis in den Bereich positiver Gatespannungen ist im allgemeinen nicht üblich.
Zusammen mit Gleichung (1) ist jeder selbstleitende Sperrschicht-FET (SFET) durch seinen maximalen Drainstrom IDSS und die Gatespannung UP (Pinch-Off-Spannung), die nahezu zu seiner Sperrung führt, hinreichend genau gekennzeichnet.

Bild
1: Links das allgemeine Schema für die Aufnahme einer SFET-Kennlinie.
Rechts die grafische Darstellung I D in Abhängigkeit von UGS für einen
BF245 A mit I DSS = 4 mA und U P = - 2,1 V.
Der Drainstrom für P- und N-Kanal Sperrschicht-FETs folgt einer quadratischen Gleichung. (1)

Wird
ein SFET bezogen auf seinen Arbeitspunkt mit einer variablen
Gatespannung angesteuert, kommt es zu einer Änderung des Drainstromes.
An einem am Drain eingefügten Arbeitswiderstand kann dann die mehr oder
weniger verstärkte Spannung abgegriffen werden. Diese hängt bezogen auf
einen bestimmten Arbeitswiderstand stark vom gewähltem Arbeitspunkt ab.
In der Nähe von UG = 0 ist die Kennlinie sehr steil, dort zieht schon
eine kleine Spannungsänderung (Ue) eine relativ große Drainstromänderung
nach sich. Wandert der Arbeitspunkt mehr in Richtung UP, so nimmt die
Steilheit (und damit die Verstärkung) immer mehr ab; an der Stelle UG =
UP ist keine Verstärkung möglich. Da die Steilheit S der Kennlinie einen
großen Einfluss auf die Verstärkungsfähigkeit eines SFET hat, ist die
Kenntnis dieses Parameters ebenfalls sehr wichtig.
Der
Verstärkungsfaktor einer solchen Stufe lässt sich durch das Verschieben
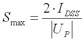
des Arbeitspunktes verstellen. Die maximale Steilheit liegt für UG = 0
genau an der Stelle IDSS, sie nimmt mit zunehmender negativer
Gatevorspannung ab und wird an der Stelle UP = 0. An Hand der Gleichung
(2) kann Smax berechnet werden. Dieser Wert hat allerdings keine
praktische Bedeutung, weil der SFET dann bis in den Bereich positiver
Gatespannungen ausgesteuert wird. (2)

Ein
weiterer wichtiger Punkt ist die Krümmung der Kennlinie, durch sie kann
die Ausgangsspannung der Eingangspannung nur in einem sehr kleinen
Bereich einigermaßen linear folgen. Es ist deshalb leicht einzusehen,
dass SFETs nur im Bereich der Kleinsignalverstärkung sinnvoll einsetzbar
sind. Ändert sich die Eingangsspannung im Volt-Bereich, ist die
Linearität nicht sehr gut. Eine Ausnahme bilden Mischstufen mit SFETs,
hier legt man den Arbeitspunkt bewusst in den Bereich höherer
Kennlinienkrümmung, damit es zu einer hohen Pegelausbeute für die
Zwischenfrequenz kommt. Aus den beiden Eingangssignalen soll eine neue
Frequenz entstehen, dieser Vorgang wird durch eine nichtlineare
Kennlinie überhaupt erst möglich.
Die Steilheit kann nach Gleichung (3) auch für andere Punkte der Kennlinie bestimmt werden. (3)

Angegeben
wird die Steilheit in Siemens (S) bzw. MilliSiemens (mS), damit ist
dann für S die Einheit mA / Volt. In Datenblättern ist auch die Angabe
„µmhos" zu finden, dabei sind 1000 µmhos mit 1 mS gleichzusetzen.
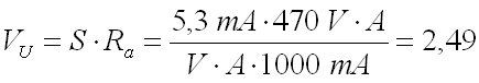
Als praktisches Beispiel wurde in [1] die tatsächliche Kennlinie eines 2N5454 punktweise aufgenommen. Dieser SFET soll bei Id = 5 mA und Ug = - 0,9 V als Verstärker eingesetzt werden.

Bild
2: Daten und geglätteter Kurvenverlauf des gemessenen 2N5454. Dieser
FET hat eine Abschnürspannung von UP = - 2,8 V und einen max. Drainstrom
von IDSS = 11 mA.
Die Steilheit an diesem Arbeitspunkt beträgt nach Gleichung (3) 5,3 mA/V. Mit einem Arbeitswiderstand Ra = 470 Ohm kommt man nach [2] auf einen Wert für die Spannungsverstärkung von: (3)

Wegen der sehr geringen Steilheit des SFET beträgt der Verstärkungsfaktor mit dem recht kleinen Arbeitswiderstand nur rund 2,5. Würde dagegen am Ausgang ein LC-Schwingkreis mit einem hohen Resonanzwiderstand liegen (Wert z.T. im kOhm-Bereich), ist mit einer wesentlich höheren Spannungsverstärkung zu rechnen.
- SFET-Parameter streuen
Bei der Produktion von SFETs kommt es zu relativ hohen Streuwerten der beiden Parameter IDSS und UP, mit einer nachträglichen Selektierung werden die FETs zwar meistens in Gruppen eingeteilt; aber auch innerhalb einer Gruppe muss man z.T. noch beträchtliche Abweichungen hinnehmen. Tabelle 1 und Bild 3 zeigen Beispiele für den bekannten SFET-Typ BF245.


Bild 3. Streuwerte für IDSS und UP bei dem SFET-Typ BF245.
Damit
überhaupt eine hohe Verstärkung erreicht werden kann, sollte die
Gatevorspannung (Bias-Wert) so gering wie möglich gehalten werden. Auf
die Gefahr der leichten Übersteuerung in diesem Bereich muss allerdings
geachtet werden.
In den meisten Fällen wird die Gatevorspannung durch
einen einfachen Sourcewiderstand erzeugt. Da der Drainstrom dem
Sourcestrom entspricht, bekommt das Gate ganz automatisch eine negative
Vorspannung zugeteilt, sie entspricht dem Betrag nach dem
Spannungsabfall am Sourcewiderstand.
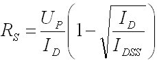
Man kann, wenn die Werte für IDSS und UP vorliegen, den notwendigen Sourcewiderstand nach Gleichung (4a) bzw. (4b) berechnen, wenn zuvor ein für den Arbeitspunkt günstiger Drainstrom festgelegt wird.

Gleichung (4a) gilt für P-Kanal FETs

Gleichung (4b) gilt für N-Kanal FETs
Beachte: In Gleichung 4b gehört der Wert „-1" nicht mit unter die Wurzel !
Die
Kennlinie der P-Kanal SFETs ist ein Y-Spiegelbild der im Bild 1
dargestellten Kurve. Weil alle Spannungen im positiven Bereich liegen,
ergibt sich automatisch ein positiver Wert für Rs.
Da bei N-Kanal-SFETs die Werte für UP immer negativ sind, muss der Klammerausdruck in Gleichung 4b ebenfalls einen negativen Wert liefern, andernfalls käme ein (unsinniger) negativer Sourcerwiderstand heraus.
- Mischer mit Sperrschicht-SFETs
Wegen ihrer günstigen Eigenschaften werden SFETs gern in einfachen und preiswerten Mischstufen eingesetzt.
Über
die Schaltungstechnik kann u.a. in [2] und [3] nachgelesen werden. An
dieser Stelle soll noch einmal deutlich werden, wie in dem Fall ein
optimaler DC-Arbeitspunkt einzustellen ist.
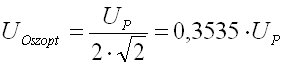
Mit einem
Ruhestrom ID = IDSS/4, entsprechend UG = UP/2 kann das Oszillatorsignal
den gesamten Kennlinienbereich durchfahren, der Drainstrom wird dann
periodisch von Null bis IDSS pendeln. Die Mischsteilheit Sm liegt nach
[3] bei diesem Arbeitspunkt nur bei:

Die Steilheit ist beim Mischvorgang um den Faktor 0,5 geringer als Gleichung (3) beim normalen Verstärkungsvorgang aussagt.
Auch bei einem SFET-Mischer wird der Arbeitpunkt durch einen Source-Widerstand gemäß Gleichung (4b) eingestellt.

Bild 4: Arbeitspunkt für SFET-Mischer.
-Bei der Kennlinie nach Bild 1 würde der BF245 als Mischer mit 1 mA Ruhestrom gut arbeiten.
Der optimale Effektivwert für den Oszillatorpegel ergibt sich aus: (5)

Mit
den beschriebenen Gleichungen sollte es kein Problem sein, für jedes
SFET-Exemplar den richtigen Arbeitspunkt einzustellen, wenn die beiden
Parameter IDSS und UP von dem betreffenden SFET-Exemplar vorliegen.
- Ermittlung der Parameter IDSS und UP
Wer
über den Semiconduktor-Analyser „AS4002" von MW-Instruments [4]
verfügt, kann damit neben Transistoren auch SFETs ausmessen. Ein
einfaches und trotzdem universelles FET-Messgerät für den Eigenbau wird
in [5] beschrieben. So geht es auch mit ganz einfachen Mitteln:
Ein
hochohmiges Digital-Voltmeter mit Strombereichen von 20 mA und 200 mA
sowie einem Spannungsbereich von 0 bis 20 Volt bei Re = 10 MOhm genügt
dazu. Hier der Messvorgang:
1. Zuerst werden die
SFET-Anschlüsse Gate und Source verbunden, dann wird das Strommessgerät
eingeschleift und bei Ub = + 9 bis + 12 V (Batterie oder Netzgerät) der
maximale Drainstrom IDSS gemessen.
2. Die an einem 100
kOhm-Sourcewiderstand abfallende Spannung entspricht in etwa UP. Das
Gate wird entweder direkt oder über einen Widerstand ( ca. 10 kOhm) an
Masse (Minuspol) gelegt. Der Drainanschluss kommt direkt oder über einen
kleinen Dämpfungswiderstand an +Ub.
- Schutzwiderstände (10 bis 100 Ohm) verhindern evtl. auftretende parasitäre Schwingungen.

Bild 5: Einfache Meßschaltungen für IDSS und UP
Der
Drainstrom entspricht bei dieser einfachen Art der UP-Bestimmung zwar
nicht dem Standardwert von 10 nA, der daraus resultierende Fehler kann
aber in der Praxis vernachlässigt werden.
Die nachfolgenden Tabellen zeigen Messwerte einiger meiner SFETs, daran kann man sehen, in welchen Größenordnungen die Streuungen für IDSS und UP liegen.

Tabelle 2: Gemessene Parameter einiger SFET-Typen (wahllos aus der Bastelkiste).

Tabelle 3: Messwerte für den SFET-Typ J309.
In den unteren 3 Zeilen (sort. nach IDSS-Wert)
kleinster Wert, höchster Wert und Mittelwert.
- Tabelle 3 bis 5: SFETs ebenfalls wahllos aus der Bastelkiste genommen.

Tabelle 4: Einige J310 von Segor [7].

Tabelle 5: Diverse BF245B von Kessler [8].