Labortagebuch November 2022

Elektronik-Labor  Notizen  Projekte  Labortagebuch

28.11..22: Ein Keramikfilter



Dieses kleine Keramikfilter für 460 kHz stammt aus einem Spulensortiment von Pollin, das ich vor einigen Jahren gekauft habe. Es hat meine ersten Versuche mit dem CD2003-Empfänger unterstützt. Weil es schon einen Schaden am Gehäuse hatte und ich noch genügend davon habe, wollte ich mal sehen, wie das innen aussieht. Zu meiner Verwunderung gibt es da vier Keramikscheiben. Die äußeren sind dicker, die inneren dünner.



Die Halterung hat an allen Kontaktscheiben kleine Ausbuchtungen in der Mitte, sodass die Keramikscheiben nur punktuell kontaktiert werden. Eine Federscheibe am Rand presst alles definiert zusammen.



Mit meiner eigenen Halterung und einem Koppelkondensator von 15 pF habe ich die dickere Scheibe an einem HF-Generator getestet. Es zeigte sich eine Resonanz nahe 460 kHz und eine hohe Güte bei einer Bandbreite von ca. 500 Hz. Man könnte also ein CW-Filter daraus bauen. Die dünneren Scheiben habe ich zuerst für reine Kondensatoren gehalten. Aber sie habe eine ähnliche Resonanz bei leicht verschobener Frequenz.



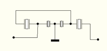
Dies ist die innere Verschaltung der Resonatoren. Ich muss gestehen, dass ich nicht schlau daraus werde. Wenn ich aber ein komplettes Filter nur mit zwei Anschlüssen über 15 pF lose ankopple, erscheinen tatsächlich vier Höcker in der Durchlasskurve. Erst bei der richtigen Abschlussimpedanz wird draus eine annähernd rechteckige Filterkurve.

Hinweis von  Norbert Renz, OE9NRH: Das Keramikfilter ist ein sogenanntes Abzweigfilter. Abwechselnd Serien- und Parallelresonanz, so wie in einem LC-Filter. Siehe Kap. 9, Seite 346 im Quarzkochbuch von Bernd Neubig DK1AG und Wolfgang Briese. Das Buch gibt es hier:
https://www.axtal.com/Deutsch/Support/Quarzkochbuch/


24.11.22: Vintage-Bauteile


Rainer hat beim Aufräumen alte Bauteile von seinem Vater gefunden. Jetzt herrscht kein Mangel mehr an Germaniumtransistoren, hier ein AF101. Darüber liegt eine alte Ge-Diode 1N34. Das Gehäuse verrät den ursprünglichen Einsatz bei höchsten Frequenzen. Das untere Bauteil ist ein keramischer Trimmer. Ich habe eine Kapazität von 208 pF gemessen. Die Einstellung geht nur in eine Richtung. Wenn man den dünnen Draht abzieht oder abwickelt, wird die Kapazität kleiner. Solche Trimmer habe ich mal in einem alten Radio gesehen. Jetzt habe ich zwei davon und könnte daraus z.B. ein steilfankiges Bandfilter für 7 MHz bauen.



Die TD13 von ca. 1969 gehören vermutlich mit zu den ältesten ICs, die jemals gebaut wurden. Darin ist nur ein Transistor, eine Diode und eine Zenerdiode (siehe https://www.radiomuseum.org/tubes/tube_td13_itt.html). Die Schaltung diente zum Bau stabiler Spannungsregler. Laut Datenblatt bekommt man bei einem Kollektorstrom von 0,25 mA und einem Z-Strom von 5 mA den kleinsten Temperaturkoeffizienten. Der 7805 und ähnliche Spannungsregler kamen viel später und machen uns das Leben leichter.


2.11.22: Widerstand durchgebrannt



Dieser Leistungswiderstand mit 27 Ohm war auf einer Platine mit Schaltregler in Reihe zum Netzanschluss eingebaut. Mit dem Ohmmeter konnte ich erkennen, dass er hochohmig geworden war. Aber erst nach dem Ausbau habe ich den kleinen Riss entdeckt.



Die weitere Untersuchung zeigte dann, dass es ein Drahtwiderstand war und dass der Draht sauber durchgebrannt war. Das Schaltregler-IC auf der Platine war ebenfalls defekt und zeigte einen vollen Kurzschluss. Der Widerstand diente wohl dazu, den Einschaltstrom zu begrenzen. Und gleichzeitig hatte er die Funktion einer Sollbruchstelle, denn eine andere Sicherung war nicht auf der Platine.



 Elektronik-Labor  Notizen  Projekte  Labortagebuch